1−3.季節海氷域での海氷過程のパラメタリゼーションに関する研究
大島慶一郎・深町康・豊田威信・二橋創平
北海道大学低温科学研究所
a.要約
本研究では、季節海氷域での海氷成長生産と海氷融解の両方の過程に対して、そのモデル化・パラメタリゼーションをめざしている。オホーツク海での係留系長期連続観測及び砕氷船による海氷コアサンプリングから、オホーツク海南部での海氷諸物理量(平均氷厚・変形氷の比率・雪の厚さなど)の統計量および海氷と積雪の構造特性に関するデータを得た。これらの結果から、前々年度提案された、「氷厚発達過程には氷盤どうしの重なり合いによる力学過程(Rafting Cycle Model)が本質的である」ことが確かめられた。また、これらのデータはモデルを検証する上でも非常に有用なものとなる。オーストラリア砕氷船による南極海氷観測プロジェクトに参加して得られた海氷データによるトゥルースから、AVHRRにより海氷厚を見積もる方法を確立した。そのAVHRR氷厚との比較から、衛星マイクロ波放射計データと熱収支計算との組み合わせにより、氷厚及び海氷生産量を求めるアルゴリズムを開発した。このアルゴリズムによって、南極海とオホーツク海での海氷生産量のマッピングを行った。このマッピングは、沿岸ポリニヤでの海氷生産の重要性を示すとともに、モデルの検証データとしても使用できるものである。海氷密接度と混合層水温の関係を、観測値にフィットさせることで融解期の海氷・海洋間バルク熱交換係数を求める手法を南極海の様々な海域で適用した。熱交換係数と風速との関係から、大気から海洋混合層へ入る熱が混合層内で混合されるプロセスの重要性が新たに示唆された。
b.研究目的
地球上の海氷域の多くは季節海氷域(冬季のみ海氷がある海域)であり、そこでは海氷面積が大きな年々変動をする。 この海域は 世界の中層水・底層水が作られる海域であるとともに、(断熱材である海氷の有無によって) 大気・海洋間との熱フラックスアノマリーが非常に大きく出る海域でもあり、グローバルな気候変動を決めるキー領域である可能性がある。
今までの海氷のモデル化は、主に北極多年氷域での観測成果に基づいたものとなっている。 多年氷域での海氷の成長・融解過程は、第0近似的には表面で融解・底面で成長するという、鉛直1次元的な考えでよいが、季節海氷域ではこのような考え方が全く当てはまらない。 海氷が融解する過程は、短波放射(日射)がまず海氷の隙間の海洋中に吸収され、その熱が海氷を底面と側面から融解していく過程でほとんどが行われており、融解過程の理解には海氷と海洋を結合した系として扱うことが不可欠である(鉛直1次元的なものでは全くない)。 氷盤の厚くなる(海氷成長)過程も、1次元熱力学で決まるというより、氷盤が重なり合って厚くなる過程の方が重要となることが我々の予備的な研究からも示唆されている。このような季節海氷域特有の海氷過程を適切に表現しうるモデル化やパラメタリゼーションはほとんど行われていないといってよい。
本研究は、典型的な季節海氷域であるオホーツク海を主なモデルサイトとして、現場・衛星観測から海氷生成・海氷融解及び沿岸ポリニヤ過程の実態把握を行い、観測に基づいてそれらの過程のモデル化をめざす。モデル化・パラメタリゼーションは季節海氷域に一般化できるものをめざす。
c
. 研究計画・方法・スケジュール@海氷データの現場観測(平成
14-18年度)オホーツク海サハリン沖及び北海道沖で係留系(氷厚計・ADCP)による海氷の厚さ・漂流速度の長期連続計測を行う。 毎年2月に砕氷巡視船「そうや」により、海氷サンプリング、氷厚・氷盤の空間分布の観測等を行う。 以上から、海氷過程を知るための海氷の基礎データを得る。
A衛星データのアルゴリズム開発と解析
マイクロ波放射計SSM/IデータとAVHRRデータから,薄氷域を検知し氷厚を求めるアルゴリズムを開発し、熱収支解析と組み合わせて海氷生産量の時空間変動を求める(平成14-16年度)。オホーツク海と南極海においては、海氷トゥルース観測も行い、その成果をアルゴリズム開発に反映させる(平成15-16年度)。高分解能のAMSRによる氷厚アルゴリズムを開発、及びグローバルに海氷生産量のマッピングを行うことを試みる(平成17-18年度)。
B海氷成長生産過程・海氷融解過程のモデル化・パラメタリゼーション(平成
14-18年度)現実の観測結果に立脚して、海氷成長生産過程・海氷融解過程のモデル化・パラメタリゼーションを行う。まず簡略化したモデル化からはじめ(平成15-16年度)、より現実的なモデル化へ(平成16-18年度)と進めていく。本部分が本研究課題の核となるものである
Cオホーツク海での海氷・海洋結合モデルの開発
(平成15-17年度)オホーツク海をモデル海域とした海氷・海洋結合モデルを作成する。
Dオホーツク海での成果のグローバルモデルへの寄与(平成17-18年度)
d
. 平成17年度の研究計画オホーツク海において、氷厚計を備えた係留系による海氷の長期連続モニター及び砕氷船による海氷サンプリング観測を継続して行う。現場トゥルース観測との比較により、衛星データから薄氷識別アルゴリズムを開発し、海氷生産量のグローバルマッピングを試みる。前年度まで中心だった海氷成長過程に加え、季節海氷域での融解過程、特に海洋との熱交換過程のモデル化を南極海を中心として行う。以上の知見・モデル化から、より現実的な海氷・海洋結合モデルの諸パラメタリゼーションに対する基礎的研究を行う。また、現場・衛星観測からは、モデルの検証に供しうる海氷諸データを提供する。
e.平成
17年度研究成果@
オホーツク海南部の海氷の物理特性(海氷サンプリング解析による)過去の観測から、オホーツク海南部の海氷の結晶構造は粒状氷(frazil ice)が卓越していることや氷盤が乗り重なってできたことを示す層状の構造が頻繁に見られることが示され、氷厚発達の確率過程モデル(開水面でできた薄い海氷が互いに重なり合って海氷が厚くなるというモデル)が提唱された(Toyota et al., 2004)。しかし、従来の観測は主として氷厚50cm以下の比較的薄い海氷に偏っていたため、昨年度の研究ではバスケットを用いて厚い海氷コアも採取可能な手法を開発して比較的厚い海氷を採取して調べ、上の性質を再度確認した。本年度は、昨年度に引き続いて更に厚い氷を含めたサンプリング解析を行い、2003〜2005年の3年間の観測から得られた海氷コアサンプル(計27個、コア長6〜225cm、平均89cm)をもとに、この海域の海氷の特性の一般化を行った。その結果、(1)粒状氷(frazil ice)は全
ぼ一致しており、(3)と合わせると、平均的には海氷はまず30〜40cmまでraftingで成長し、その後ridgingによって更に厚い海氷が生成される様相が浮かび上がる。(5)の結果は衛星から氷厚を推定し得る可能性を示唆している。今後は、ここで得られた解析結果を組み込んだ数値海氷モデルの開発に着手する予定である。

A
オホーツク海南部の海氷の氷厚特性(係留観測による)昨年度までの観測を継続して、北海道沿岸の紋別沖の海域で、
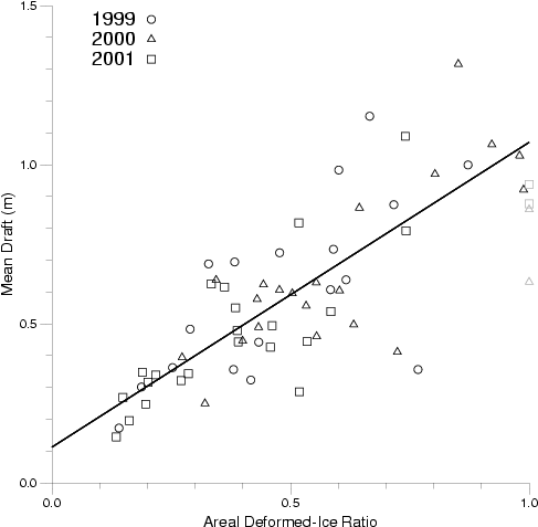
12月下旬から3月下旬にかけて、超音波氷厚計とADCPの係留観測を行った。今回はこれまでの観測とは異なり、この2つの測器の計測対象の海氷を極力同一のものとするために、1つの係留系に両方の測器を取り付けて観測を行ったが、音響干渉の発生も無く、良好なデータを取得することに成功した。1999年から2001年の冬季に北海道沿岸の湧別沖の海域で行った係留観測のデータをまとめて、海氷底面のプロファイルの解析を行った (Fukamachi et al., in press)。 これによると、この3年間における平均氷厚はそれぞれ約71、86、58 cm(平均値は約71 cm)となった。また、変形氷の全海氷に対する体積比率はそれぞれ81、85、73%(平均値は80%)であった。よって、この海域においては、氷厚が比較的小さい年においても変形氷の比率が高く、氷厚発達過程において、氷盤の重なり合いなどの力学的なプロセスが重要であることを示しており、前々年度に提出した氷厚発達モデル(Toyota et al., 2004)の妥当性が支持される。
海氷底面のプロファイルを
40 km程度の区間に区切って、その区間の変形氷の面積比率と平均氷厚(喫水下のもの)の関係を調べたところ、相関の高い(相関係数0.78) 線形式で回帰できることがわかった(図2)。目視観測などでも変形氷の割合がわかれば、ある程度海氷の体積(平均氷厚)を推定できることが示唆された。
図
2:40 km程度の区間毎の変形氷の面積比率と平均氷厚(喫水下のもの)との散布図。直線は最小二乗法で導出した線形の回帰式を示す。
B海氷生産量のグローバルマッピング
2003
年9-10月、オーストラリア砕氷船による南極海氷観測プロジェクト(ARISE)に参加して得られた海氷データによるトゥルースから、AVHRRにより海氷厚を見積もる方法を確立した(Tamura et al., revised)。そのAVHRR氷厚との比較から、衛星マイクロ波放射計データと熱収支計算との組み合わせにより、グローバルに(現在は南極海とオホーツク海まで)氷厚及び海氷生産量を求めるアルゴリズムを開発した(昨年まではトゥルース観測が反映されていなかった)。これにより、海氷生産量のグローバルマッピングが可能となる。図3は、1992-2001年で平均した南極海における年間累積海氷生産量の空間分布である。この図から、海氷生産のほとんどは沿岸ポリニヤで行なわれていることが定量的に示される。これらは、局所的(サブグリッドスケール的)に高海氷生産域となる沿岸ポリニヤをパラメタライズするための基礎データとなるものである。また、同時にこれらは海洋及び大気モデルの海面境界での熱塩フラックスの条件を与えるデータセットにも使える(今後提供予定)。南極海の海氷生産量マッピングからは、Ross海沿岸において南極海で最も高い海氷生産が示され、これはRoss海で最も高塩の南極底層水が生産されている事実に対応している。また、Ross海に次いでDarnley岬沖での海氷生産量が大きいことがわかり、南極底層水の第四のソースである可能性が指摘される。オホーツク海についても同様な手法で海氷生産量のマッピングを行っており、北西陸棚ポリニヤが最大の海氷生産域であることやその生産の年々変動などが推定された。
図3:マイクロ波放射計と熱収支計算から見積もった海氷生産量(
Tamura et al., in preparation)C融解期の海氷・海洋熱交換過程
典型的な季節海氷域である南極海で、これまで直接観測からのアプローチが困難であった海氷−海洋間の熱交換過程のバルク径数化を行った。本解析では、海氷−海洋上層結合モデルから得られる海氷密接度と混合層水温の関係を、観測値にfitさせることで、海氷−海洋間のバルク熱交換係数(Kb)を求める手法 (Ohshima and Nihashi, 2005) を用いた。この結合モデルは、観測による研究結果(Nihashi and Ohshima, 2001)を基に、開水面から海洋混合層に入る熱によってのみ海氷が融解すると仮定しており、各氷盤の融解を陽に扱うのではなく、様々な厚さの海氷が存在する海氷−海洋結合系の融解(側・底面融解を含む)をバルクに扱う(図4)。南極海の季節海氷域をほぼ全域カバーする18海域で得られた結果から、Kbは平均で1.2×10-4 (m s-1)という値が得られた。今まで(北極海を中心として)渦相関法などの直接観測から熱交換係数を見積もったいる研究(McPhee, 1992)は、海氷の底面融解に対するものである。その場合、Kbは摩擦速度(従って風速)に比例する形にパラメタライズされる。本解析で見積もられたKbと風速(Uw)の関係を調べると(図5)、線形というよりはむしろKb∝Uw3に近い関係を示した。本研究の方法は、融解を海氷−海洋結合系でバルクに扱っており、Kbは大気から海洋混合層へ入る熱が混合層内で混合されるプロセス(風速の3乗に比:Kraus and Turner,1967)と、海氷−海洋界面におけるローカルな熱交換過程(風速に比例)の両方を含んだものと考えられる。図5の関係はこれらの過程を反映している可能性がある。図5から、Kb=0.019Uw2またはKb=0.002Uw3いう関係式が得られた。この定式化が正しければ、海氷の融解は風が弱いときはほとんど起こらず、風が強いときに一気に起きることになる。
f
. 考察@ABで得られた知見は、現場・係留・衛星のすべての観測から、海氷生産・成長過程において重要なのは、開水面でできた薄い海氷が互いに重なり合って海氷が厚くなる過程であることが示された。今後は、これらの効果を海洋・海氷結合モデルのなかでいかに的確にモデル化するかが、重要な研究課題である。特に、沿岸ポリニヤ(高海氷生産域)のパラメタリゼーションは海洋の中・深層循環においても重要であり、Bで得たような海氷生産量分布を再現できるようなモデル化をめざすべきである。Cより、融解過程においても氷盤の間・隙間が重要であり、特に大気から海洋混合層へ入る熱が混合層内で混合されるプロセスの重要性が新たに示唆された。
g
. 引用文献(成果の発表にあるものを除く)Kraus, E. B., and J. S. Turner, A one-dimensional model of the seasonal themocline, II, The general theory and its consequences, Tellus, 1, 98-105, 1967.
McPhee, M. G., Turbulent heat flux in the upper ocean under sea ice, Journal of Geophysical Research,, 97, 5365-5379, 1992.
Nihashi, S. and K. I. Ohshima, Relationship between ice decay and solar heating through open water in the Antarctic sea-ice zone, Journal of Geophysical Research, 106, 16767-16782, 2001.
Toyota, T. , T. Kawamura, K. I. Ohshima, H. Shimoda, and M. Wakatsuchi
h.研究成果の発表
学会誌等(計
14編):Fukamachi, Y
Inoue, J., and T. Toyota: Characteristics of aerosol number concentrations over the ice-covered Okhotsk Sea, Journal of Meteorological Society of Japan, 83(4), 633-640, 2005.
Mizuta, G., K. I. Ohshima, Y. Fukamachi, and M. Wakatsuchi: The variability of the East Sakhalin Current induced by winds over the continental shelf and slope, Journal of Marine Research, 63, 1017-1039, 2005.
Nihashi, S., K. I. Ohshima, M. O. Jeffries, and T. Kawamura: Sea-ice melting processes inferred from ice-upper ocean relationships in the Ross Sea, Antarctica, Journal of Geophysical Research, 110, C02002, doi:10.1029/2003JC002235, 2005.
Ohshima, K. I. and S. Nihashi: A simplified ice-ocean coupled model for the Antarctic ice melt season, Journal of Physical Oceanography, 35, 188-201, 2005.
Ohshima, K. I., S. Riser, and M. Wakatsuchi: Mixed layer evolution in the Sea of Okhotsk observed with profiling floats and its relation to sea ice formation, Geophysical Research Letters, 32, L06607, doi:10.1029/2004GL021823, 2005.
Ohshima, K. I., T. Tamura, and S. Nihashi: Detection of coastal polynyas and ice production in the Antarctic and Okhotsk Seas from SSM/I, Proceedings of IEEE International Geoscience and Remote Sensing Symposium 2005, Seoul, Korea, 2652-2655, 2005.
Ohshima, K. I., Y. Fukamachi, T. Mutoh, and M. Wakatsuchi: A generation mechanism for mesoscale eddies in the Kuril Basin of the Okhotsk Sea: baroclinic instability caused by enhanced tidal mixing, Journal of Oceanography, 61, 247-260, 2005.
Ohshima, K. I., M. Wakatsuchi, and S. Saitoh: Velocity field of the Oyashio region observed with the satellite-tracked surface drifters during 1999-2000, Journal of Oceanography, 61, 845-855, 2005.
Ono, J., K. I. Ohshima, G. Mizuta, Y. Fukamachi, and M. Wakatsuchi: Amplification of diurnal tides over Kashevarov Bank in the Sea of Okhotsk and its impact on water mixing and sea ice, Deep Sea Research, 53, 409-424, 2006.
Shimada, Y., A. Kubokawa, and K. I. Ohshima: The influence of current width variation on the annual mean transport of the East Sakhalin Current: A simple model, Journal of Oceanography, 61, 913-920, 2005.
Simizu, D. and K. I. Ohshima: A model simulation on the circulation in the Sea of Okhotsk and the East Sakhalin Current, Journal of Geophysical Research, 111, doi:10.1029/2005JC002980, in press, 2006.
Toyota, T., S. Takatsuji, and M. Nakayama: Characteristics of sea ice floe size distribution in the seasonal ice zone, Geophysical Research Letters, 33, L02616, doi:10.1029/2005GL024556, 2006.
Uto, S., T. Toyota, H. Shimoda, K. Tateyama, and K. Shirasawa, Ship-borne electromagnetic induction sounding of sea ice thickness in the south Okhotsk Sea, Annals of Glaciology , in press.
口頭発表(計
31件):深町 康
,John A. Church,Stephen R. Rintoul,青木 茂,若土 正曉: 南極海インド洋セクターのケルゲレン海台東側斜面における深層西岸境界流の係留観測, 第28回極域気水圏シンポジウム,国立極地研究所, 東京,2005年11月30日.深町 康,John A. Church,Stephen R. Rintoul,青木 茂,若土 正曉: 南極海インド洋セクターのケルゲレン海台東側斜面における深層西岸境界流の係留観測,
2006年度日本海洋学会春季大会, 横浜市立大学,横浜,2006年3月29日.草原
和弥,大島 慶一郎: 南極沿岸におけるコヒーレントな水位変動の力学,第28回極域気水圏シンポジウム,国立極地研究所,東京,2005年11月30日.草原
和弥,大島 慶一郎: 南極沿岸におけるコヒーレントな水位変動の力学,2006年度日本海洋学会春季大会,横浜市立大学,横浜,2006年3月29日.Nihashi S.
and K. I. Ohshima: Estimation of ice-ocean heat transfer coefficient from concentration- temperature relationship, IGS International Symposium on Sea Ice, Dunedin, New Zealand, December 5, 2005.二橋
創平,大島 慶一郎: 夏季南極海で密接度と水温の関係から推定される海氷−海洋間熱交換係数,第28回極域気水圏シンポジウム,国立極地研究所,東京,2005年11月30日.二橋
創平,大島 慶一郎: 夏季南極海における海氷−海洋間熱交換係数 −密接度と水温の関係からの推定−,2005年度日本海洋学会秋季大会,仙台市戦災復興記念館,仙台,2005年9月28日.Ohshima, K. I
., T. Tamura, and S. Nihashi: Detection of coastal polynyas and ice production in the Antarctic and Okhotsk Seas from SSM/I, IEEE International Geoscience and Remote Sensing Symposium 2005, Seoul, Korea, July 27, 2005.Ohshima, K. I., T. Tamura, and S. Nihashi
: Sea ice production in the Okhotsk coastal polynya and its relation to interannual variability of Okhotsk Sea Intermediate Water, IGS International Symposium on Sea Ice, Dunedin, New Zealand, December 7, 2005.Ohshima, K. I., D. Simizu
: Particle trace experiments on a model of the Okhotsk Sea: Toward the prediction for spreading of spilled oil and Amur contamination, The 21st International Symposium on Okhotsk Sea and Sea Ice, Monbetsu, February 23, 2006.Ohshima, K. I., T. Nakanowatari, S. Nihashi, M. Wakatsuchi, M. Itoh, and S. C. Riser
: Sea ice production in the Okhotsk Sea and its relation to interannual variability of Okhotsk Sea and North Pacific Intermediate Water, The 21st International Symposium on Okhotsk Sea and Sea Ice, 29-32, Monbetsu, February 21, 2006.大島慶一郎
: 温暖化の高感度域オホーツク海: その変動と北太平洋へのインパクト,北海道大学低温科学研究所環オホーツク観測研究センター シンポジウム 環オホーツク圏における気候学と古気候学の接点,低温科学研究所,札幌,2006年3月7日.圏におけ大島慶一郎
: オホーツク海流氷研究最前線, 地域環境シンポジウム 凍る海の豊かさ−知床自然遺産の特長−,北海道東海大学環境研究所,札幌,2005年11月26日.ホー大島慶一郎
,S. C. Riser,伊東素代,若土正曉: プロファイリングフロートからわかる、オホ−ツク海中層水及びその太平洋水との交換の季節・経年変動,2005年度日本海洋学会秋季大会,仙台市戦災復興記念館,仙台,2005年9月28日.大島慶一郎,清水大輔:
オホーツク海における粒子追跡モデル実験 −流出油及びアムール川汚染物質の漂流予測に向けて−, 2006年度日本海洋学会春季大会,横浜市立大学,横浜,2006年3月29日.Ono, J., Ohshima, K. I., Mizuta, G., Fukamachi, Y., Wakatsuchi, M
: Diurnal coastal trapped waves on the eastern shelf of Sakhalin in the Okhotsk Sea, 2006 Ocean Sciences Meeting, Honolulu, Hawaii, USA, 20-24 February, 2006.田村
岳史,大島 慶一郎,二橋 創平: 南極沿岸ポリニヤにおける海氷生産量の年々変動,2006年度日本海洋学会春季大会,横浜市立大学,横浜,2006年3月29日.Tamura, T., K. I. Ohshima, and S. Nihashi
: Estimation of sea ice production from satellite data in Antarctic coastal polynyas, 11th CEReS International Symposium on Remote Sensing, Chiba, Japan, December 14, 2005.Tamura, T., K. I. Ohshima, and S. Nihashi
: Estimation of sea ice production from passive microwave data in Antarctic coastal polynyas, IGS International Symposium on Sea Ice, Dunedin, New Zealand, December 9, 2005.Tamura, T., K. I. Ohshima, H. Enomoto, K. Tateyama, A. Muto, S. Ushio, and R. A. Massom
: Validation of sea ice thickness calculated from AVHRR data in an Antarctic coastal polynya, IGS International Symposium on Sea Ice, Dunedin, New Zealand, December 5, 2005.Tamura, T., and K. I. Ohshima
: Estimation of sea ice production for the Ross Sea coastal polynya from SSM/I and AVHRR data, 3rd International Conference on the Oceanography of the Ross Sea Antarctica, Venice, Italy, October 12, 2005.田村
岳史,大島 慶一郎,二橋 創平,Thorsten Markus,Donald J. Cavalieri,平沢尚彦: SSM/Iデータを用いた南極海における薄氷厚の見積もりとfast iceの検出,第28回極域気水圏シンポジウム,国立極地研究所,東京,2005年11月30日.豊田威信:
季節海氷域の特徴〜オホーツク海の海氷観測から〜, 2005年度日本気象学会春季大会,極域・寒冷域研究連絡会,東京大学,東京,2005年5月18日.Nomura, D., H. Yoshikawa-Inoue, T. Toyota
: The effect of sea-ice growth on CO2 exchange between the sea and the overlying air on the basis of experiment in the low-temperature room, Seventh International Carbon Dioxide Conference (ICDC7), Boulder, Colorado USA, September 25-30, 2005.豊田威信
,高辻慎也,直木和弘,舘山一孝,大島慶一郎:オホーツク海南部の海氷と海氷上の積雪の特性,2005年度日本海洋学会秋季大会,仙台市戦災復興記念館,仙台,2005年9月30日.豊田威信,宇都正太郎,大島慶一郎:オホーツク海南部の海氷の表面形状観測,第
28回極域気水圏シンポジウム,国立極地研究所,東京,2005年11月30日.Toyota, T.
, S. Takatsuji, N. Naoki, K. Tateyama, and K. I. Ohshima: Properties of sea ice and overlying snow in the southern Sea of Okhotsk, International Glaciological Society, International Symposium on Sea Ice, Dunedin, New Zealand, December 5-9, 2005.Uto, S., T. Toyota, H. Shimoda, K. Tateyama, and K. Shirasawa
: Ship-borne electromagnetic induction sounding of sea ice thickness in the south Okhotsk Sea, International Glaciological Society, International Symposium on Sea Ice, Dunedin, New Zealand, December 5-9, 2005.豊田威信
,木村詞明,舘山一孝,西尾文彦: 衛星情報と現場観測に基づくオホーツク海の海氷生成機構の検証,第8回CEReS環境リモートセンシングシンポジウム,千葉大学,千葉,2005年12月12日.Matsuzawa, T., S. Uto, T. Takimoto, K. Tateyama and T. Toyota
: Availability of remote sensing data for ship navigation in Ice, The 21th International Symposium on Okhotsk Sea and Sea ice, Mombetsu, February 22, 2006.豊田威信
,中村和樹,宇都正太郎,大島慶一郎,江淵直人: 合成開口レーダによる氷厚分布の推定の可能性について,2006年度日本海洋学会春季大会,横浜市立大学,横浜,2006年3月29日.